Published in La Gazette du Laboratoire – October 2024
La CLHP à gradient est un outil essentiel pour l’analyse d’échantillons contenant des composés de polarité variable. Son efficacité découle de la possibilité d’adapter à la fois la durée et la composition du gradient, ce qui permet de manipuler les temps de rétention des analytes. Toutefois, les écarts dans les profils de gradient programmés produits par les systèmes HPLC posent des problèmes, car ils ont un impact sur le temps de rétention et la forme des pics. Plusieurs facteurs contribuent à cette variabilité dans la CLHP à gradient, tels que la qualité du solvant, les performances de la pompe, les changements de pression du système et l’état des colonnes. Pour relever ces défis, il est nécessaire de contrôler et de surveiller avec précision les profils de gradient.
La méthode traditionnelle et généralement acceptée pour la validation des gradients dans un système HPLC repose actuellement en grande partie sur l’assistance d’un détecteur UV. Pour un gradient binaire, on utilise généralement de l’eau pure et de l’eau contenant 0,1% d’acétone. La détermination de l’absorbance de l’acétone en fonction du temps représente très précisément le gradient effectué par le système.
Cependant, bien que cette méthode soit précise, elle n’est pas représentative du gradient utilisé dans une séparation chromatographique réelle, car plusieurs facteurs importants, notamment la viscosité et la densité de l’eau pure et de l’eau contenant 0,1% d’acétone, sont pris en compte dans la détermination du gradient.
Les particularités des solvants utilisés ne sont pas prises en compte. En outre, les particularités des électrovannes du système CLHP utilisé, telles que des temps de commutation différents pour les phases d’activation et de désactivation, n’entrent pas vraiment en ligne de compte lorsque les solvants utilisés sont très similaires, ce qui est le cas dans la méthode de validation traditionnelle.

Toutefois, compte tenu de l’importance de gradients reproductibles pour toute application CLHP, une méthode précise et reproductible de contrôle continu du mélange de solvants créé par le système devrait être d’un intérêt primordial pour les nombreuses applications CLHP à gradient critique utilisées dans les industries pharmaceutiques, cosmétiques, alimentaires et autres industries similaires rigoureusement réglementées.
Les débitmètres modernes non invasifs, basés sur un principe thermique, sont bien connus pour être un outil rapide et précis pour la détermination du débit dans les systèmes HPLC. Cela a été démontré dans plusieurs articles et publications*. Une caractéristique intéressante de ces dispositifs, dans le contexte de la surveillance de la composition du gradient, est que les valeurs de débit rapportées sont strictement liées au solvant.
Pour laquelle l’appareil a été étalonné. En d’autres termes, ces débitmètres, sans étalonnage spécifique, fournissent un débit apparent qui dépend de la composition de l’éluant mesuré. En tant que tels, ils constituent, du moins en théorie, l’outil idéal pour contrôler en continu la composition de l’éluant dans un système HPLC à gradient, dans le but de déterminer la reproductibilité du mélange. (Voir figure 2)

La preuve du concept décrit ci‑dessus a été faite par la détermination simultanée de la composition de l’éluant en utilisant la méthode généralement reconnue de l’absorbance UV tout en mesurant le débit apparent indiqué par un débitmètre connecté à l’extrémité du système HPLC. Cette configuration garantit que la mesure du débit apparent n’interfère en aucune façon avec la séparation CLHP. Contrairement à la méthode traditionnelle, il s’agit d’une méthode totalement non invasive et donc idéale pour surveiller la composition de l’éluant indépendamment d’une application CLHP particulière. En détail, notre objectif de contrôle n’était pas de déterminer la composition absolue de l’éluant mélangé, mais de vérifier si la reproductibilité du mélange peut être déterminée par cette méthode, confirmant ainsi la validité de l’adéquation supposée de cette approche à la tâche de contrôle continu de la reproductibilité.
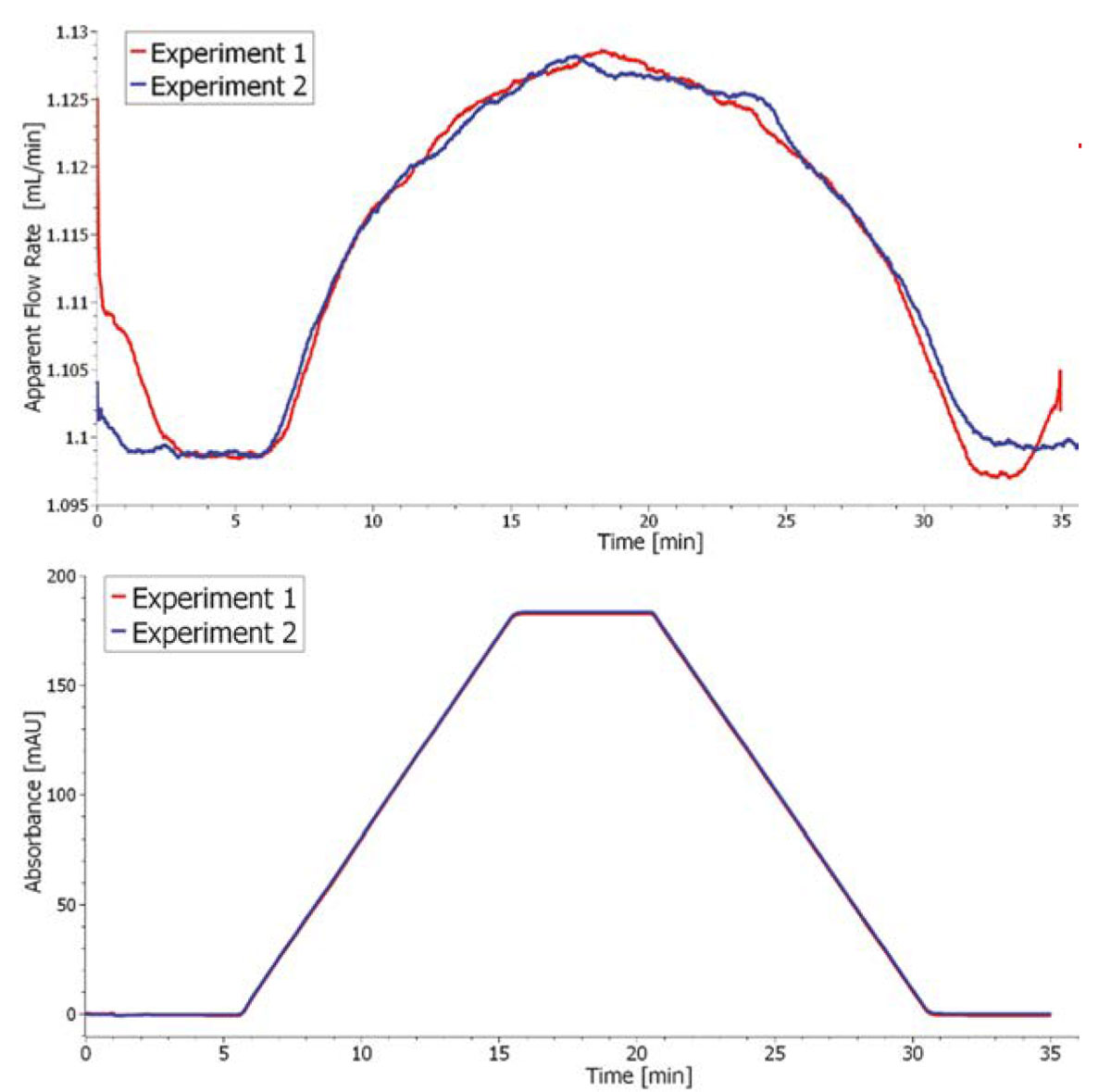
La Figure 3 montre les résultats des deux méthodes exécutées en même temps. L’expérience a été répétée deux fois, les traces des deux expériences se chevauchent. Il est clairement visible que la méthode traditionnelle et la méthode du « débit apparent » (utilisant le débitmètre LC) rendent compte de manière reproductible de la composition du mélange d’éluant.
Si la méthode du «débit apparent» ne permet pas de déterminer de façon absolue la composition de l’éluant, elle offre cependant le réel avantage de ne pas interférer avec la séparation, ce qui permet de contrôler la forme et la composition du gradient, ce qui n’est pas possible avec la méthode de validation traditionnelle.

Cette étude expérimentale démontre la capacité des débitmètres modernes non invasifs à être des outils précieux pour valider et contrôler le gradient dans les systèmes HPLC d’une manière qui était impossible jusqu’à présent.
En contrôlant avec précision les débits apparents en temps réel et en permettant l’enregistrement des données, ces débitmètres garantissent que le gradient programmé est fidèlement reproduit, ce qui facilite une séparation précise et cohérente dans la CLHP. Cela permet d’utiliser la CLHP à gradient avec un degré de confiance plus élevé.
Les débitmètres analytiques LC de TESTA sont l’outil idéal pour les laboratoires où une plus grande confiance dans les résultats HPLC est souhaitée ou nécessaire.
La flexibilité et les avantages de ces débitmètres non invasifs en tant que dispositif de surveillance de la composition de l’éluant dans les systèmes HPLC à gradient ont été confirmés par rapport aux techniques de détection UV traditionnelles.
* www.testa-analytical.com/papers/paper45.html
To receive the requested information from Testa Analytical, complete and submit the form below.
Your message has been forwarded to our team and we will reply as soon as possible. Thank you for your patience.
Testa Analytical uses cookies to distinguish you from other users of our website. This helps us to provide you with a good experience when you browse our website and also allows us to improve our site.
A cookie is a small file of letters and numbers that we store on your browser or the hard drive of your computer if you agree. Cookies contain information that is transferred to your computer's hard drive.
We use different technologies e.g. to measure the use and efficacy of a website, for authentication or to simplify website navigation. Cookies are one such technology. A cookie is a data element which a website sends to your browser. The cookie is saved on your system as an identifying piece of information that identifies your system.
Visitors' IP addresses are captured on our websites for the analysis of malfunctions, the administration of the website and the attainment of demographic characteristics. Furthermore, we use IP addresses and, as necessary, other information which you have made available to us on this website or by other means to find out which of our website are being visited and what topics interest our visitors.
Most browsers are now set by default to accept cookies automatically. However, you can also limit the use of cookies via your browser setting. We recommend that you accept cookies because cookies enable you to use several of the functions on our websites. Not accepting cookies may disrupt necessary functions on our websites. For details, see https://cookiesandyou.com/.
© 2026 TESTA Analytical Solutions e.K. All rights reserved.